
Philipp. Sci. Lett. 2012 5 (1) 046-052
available online: March 09, 2012
*Corresponding author
Email Address: consolacion.ragasa@dlsu.edu.ph
Submitted: September 22, 2011
Revised: October 21, 2011
Accepted: December 27, 2011
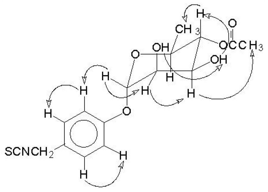
Cytotoxic Isothiocyanates from Moringa oleifera Lam Seeds
Isothiocyanates 1 and 2 were evaluated for cytotoxicityagainst the human cancer cell lines, non-small cell lungadenocarcinoma (A549) and colon carcinoma (HCT 116), andthe non-cancer cell line Chinese hamster ovary cells (AA8)using the MTT cytotoxicity assay. Compounds 1 and 2 werecytotoxic against A549 with IC50 values of 10 and 12 µM,respectively, while the positive control, Doxorubicin gave anIC50 value of 4 µM. Isothiocyanates 1 and 2 were also cytotoxicagainst HCT 116 with IC50 values of 12 and 11 µM, respectivelywhile Doxorubicin exhibited an IC50 value of 3 µM. Compounds1, 2 and Doxorubicin were also cytotoxic against AA8 with IC50values of 22, 15 and 4 µM, respectively.
© 2026 SciEnggJ
Philippine-American Academy of Science and Engineering