VOLUME 13 NUMBER 1 (January to June 2020)

PSL%202019 vol12-no02-p133-138-Mikita%20and%20Padlan

Philipp. Sci. Lett. 2020 13 (1) 13-16
available online: February 29, 2020

*Corresponding author
Email Address: abeyah_mei@yahoo.com
Date received: April 19, 2019
Date revised: August 13, 2019
Date accepted: February 27, 2020

ARTICLE

Growth inhibition of Black Sigatoka pathogen, Pseudocercospora fijiensis (Morelet) Deighton, by preharvest and postharvest treatments of Cavendish Banana

by Abbeah Mae R. Navasca*, Merahflor L. Cavite, Geneva S. Suarez, Carriza Mae S. Alagano, Benny M. Corcolon

TADECO Disease Diagnostics and Services Laboratory,
      Research, Information, and Compliance Division (RICD),
      Tagum Agricultural Development Company, Inc. (TADECO),
      Panabo, Davao
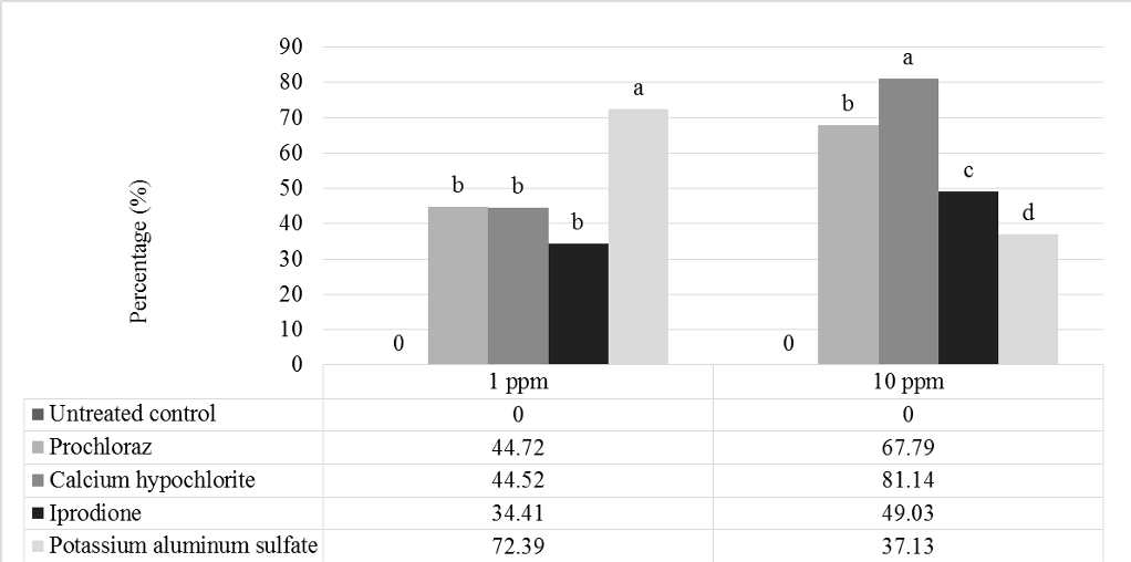
An in vitro study was conducted to determine the efficacy of products applied as preharvest and postharvest treatments in banana production against Pseudocercospora fijiensis (Morelet) Deighton, the causal pathogen of Black Sigatoka disease. A total of seven products used in banana disease control were evaluated namely thiophanate methyl, copper hydroxide, and ionic copper for preharvest pathogens and prochloraz, calcium hypochlorite, iprodione, and potassium aluminium sulfate for postharvest pathogens. The laboratory assay was conducted following the guidelines set by the Banana Working Group of Fungicide Resistance Action Committee (FRAC) where each product was tested at two concentrations, 1 and 10 ppm. Test was laid out in Complete Randomized Design with three replicates per concentration per product. Tests revealed the inhibiting effect of the products against the fungal pathogen even at a low concentration of 1 ppm. For preharvest products, superior effect was noted from copper-based (copper hydroxide and ionic copper) treatments especially at 10 ppm. For postharvest products, treatment with calcium hypochlorite provided the best effect especially at 10 ppm. Among all products evaluated, only potassium aluminium sulfate had decreasing efficacy as concentration increases. Results of this study demonstrated the promising effect of the tested products against Pseudocercospora fijiensis hence providing added control to Black Sigatoka.

© 2025 SciEnggJ
Philippine-American Academy of Science and Engineering