VOLUME 16 NUMBER 1 (January to June 2023)

PSL%202021 vol14-no01-p12-28-Mikita%20and%20Padlan

SciEnggJ. 2023 16 (1) 019-027
available online: January 31, 2023

*Corresponding author
Email Address: lvgo@up.edu.ph
Date received: November 11, 2022
Date revised: December 6, 2022
Date accepted: January 11, 2023
DOI: https://doi.org/10.54645/2023161VRD-27

ARTICLE

Production and characterization of manno-oligosaccharides from hydrolysis of mannan substrates by recombinant beta-mannanase from Bacillus licheniformis (Weigmann) Chester DSM 13

Louelle Sheryl G. Albia*1, Sheryl Lozel B. Arreola1, Adonis A. Yanos1, Thu-Ha Nguyen2, and Dietmar Haltrich2

1Institute of Chemistry, University of the Philippines Los Baños (UPLB),
      Philippines
2Food Biotechnology Laboratory,
      Department of Food Science and Technology,
      University of Natural Resources and Life Sciences (BOKU)
      Vienna, Austria
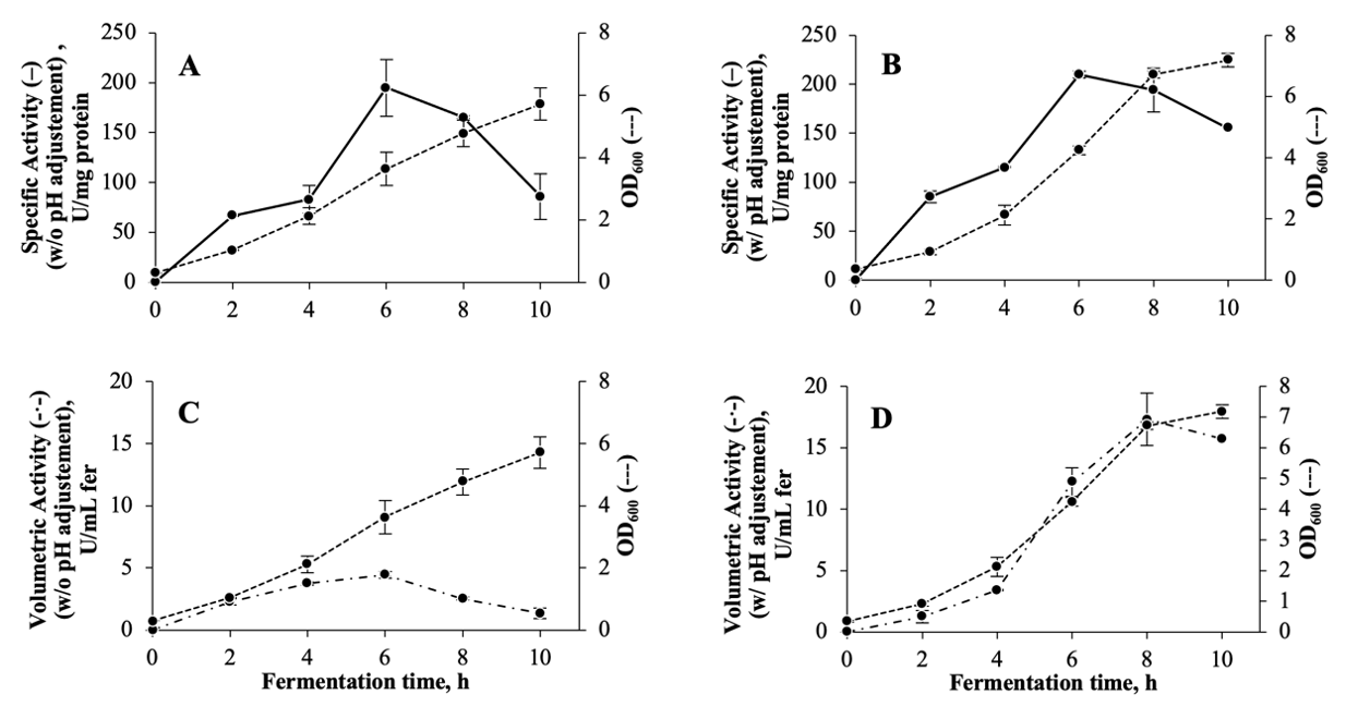
Mannooligosaccharides (MOS) is a prebiotic produced by the hydrolysis of mannans and promotes gut health. One route in producing MOS is via enzymatic method, which employs microbial enzyme (e.g., β-mannanase) for mannan hydrolysis. In this work, we investigated the stability and propensity of β-mannanase from Bacillus licheniformis (BlManB) overexpressed in Lactiplantibacillus plantarum WCSF1 towards β-MOS production using several mannan sources. We also determined the fermentation conditions for optimal enzyme production in the food-grade system. Maximal crude enzyme yield was obtained (17.3 ± 1.2 kU per liter of fermentation broth with specific activity of 194 U/mg protein) by maintaining the pH at 6–6.5 at fermentation. Crude BlManB is stable at storage conditions of -20°C and 4°C. The crude overexpressed enzyme was also stable and active at conversion conditions (30 °C and 37 °C) in the presence of 2 mM dithiothreitol (DTT) . Analysis by high-performance anion-exchange chromatography with pulsed amperometric detection (HPAEC-PAD) indicated that the crude enzyme produced known linear MOS of 235.88 mg/g using locust bean gum, 121.63 mg/g using copra meal, 71.71 mg/g using guar gum, 21.33 mg/g using spent coffee ground, and 86.76 mg/g using konjac glucomannan. The study has also shown that crude BlManB overexpressed in L. plantarum WCSF1 could be efficiently used to produce food-grade MOS.

© 2026 SciEnggJ
Philippine-American Academy of Science and Engineering