
SciEnggJ. 2023 16 (2) 458-460;
available online: December 31, 2023
*Corresponding author
Email Address: mpona@math.upd.edu.ph
Date received: September 9, 2023
Date revised: November 30, 2023
Date accepted: December 23, 2023
DOI: https://doi.org/10.54645/2023162OBS-25
On the regularity of the flow of analytic vector fields
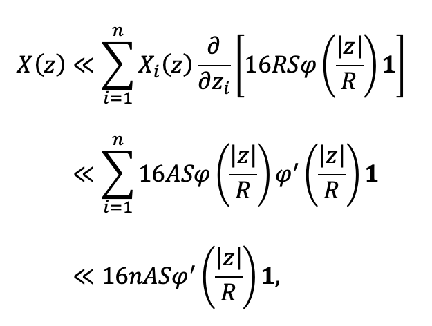
The flow of vector field X is the solution to the system of linear partial differential equations ∂_t u(t,z)=X(u(t,z)) with initial condition u(0,z)=z. It is known that for an analytic vector field, its flow is given by a convergent Lie series. Recently, Carillo gave a quick and elementary proof of this fact by introducing a special family of norms. This paper gives an even more concise proof by directly estimating the formal series expansion and using a family of majorant functions studied by Lax.
© 2026 SciEnggJ
Philippine-American Academy of Science and Engineering