
SciEnggJ 18 (Supplement) 362-373
available online: 24 November 2025
DOI: https://doi.org/10.54645/202518SupBRT-44
*Corresponding author
Email Address: alnazareno@up.edu.ph
Date received: 15 August 2025
Date revised: 31 October 2025
Date accepted: 13 November 2025
Modeling pertussis transmission in the Philippines: Insights on epidemic dynamics and vaccination impact
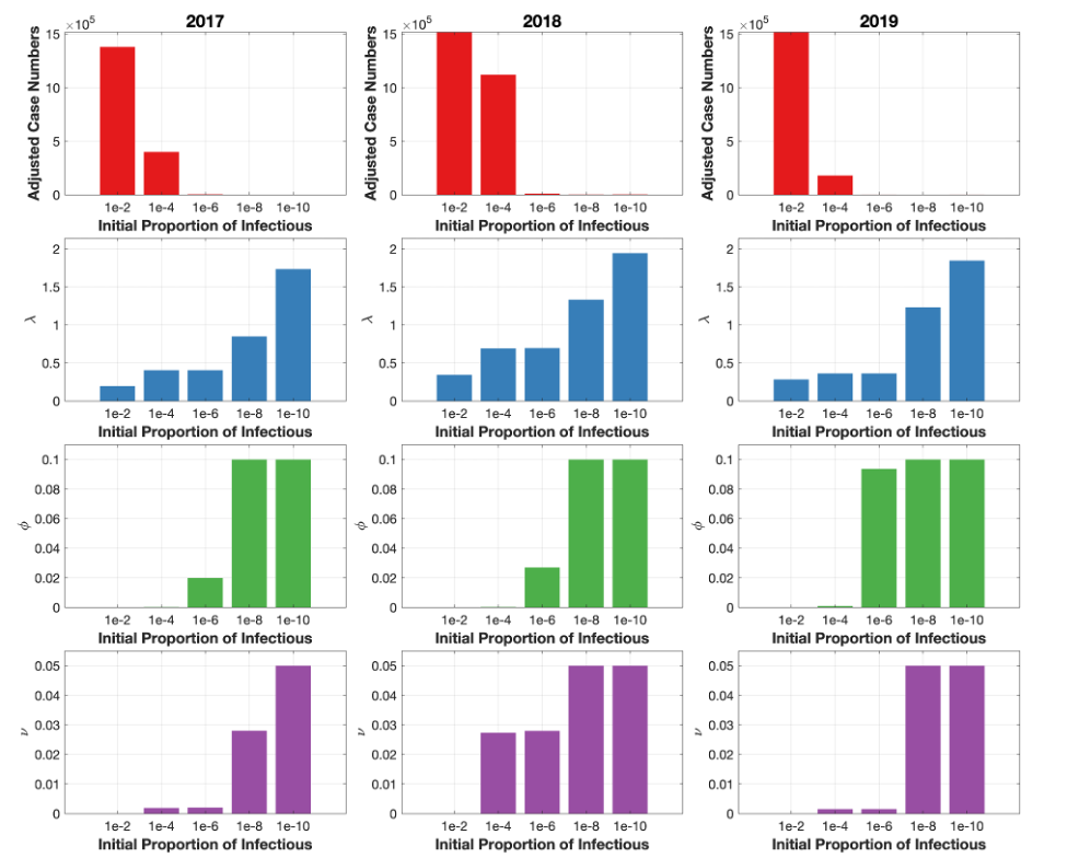
Pertussis, a highly contagious respiratory disease, poses a significant health threat across all ages, with infants younger than one year of age facing the highest risk of hospitalization and death. In the Philippines, pertussis caused 48 deaths among 705 reported cases in 2023. While these numbers appear modest, they likely reflect substantial underreporting given the presumed circulation of the disease, raising concerns about the true extent of the pertussis burden. Modeling efforts can improve our understanding of pertussis transmission dynamics and help assess the impact of vaccination; however, such a comprehensive mathematical analysis has been lacking in the country. We developed a Susceptible-Exposed-Infectious-Recovered-Susceptible (SEIRS)-based model that incorporates varying exposure levels to analyze pertussis transmission dynamics, calibrated using national epidemiological data from 2017 to 2019. Our model captured the observed pertussis epidemic trends and revealed that actual pertussis cases may be 10–40 times higher than reported. The model also demonstrated that maintaining a high level of protection is crucial for preventing case surges, as lower protection levels increase susceptibility and outbreak potential. The substantial underestimation of pertussis incidence and the projected impact of vaccination together highlight the need for enhanced surveillance systems and strengthened pertussis immunization programs. Our study provides important insights into pertussis epidemiology in the Philippines and in the Southeast Asian region, offering a foundation for evidence-based public health policies aimed at achieving more effective pertussis control.
© 2026 SciEnggJ
Philippine-American Academy of Science and Engineering